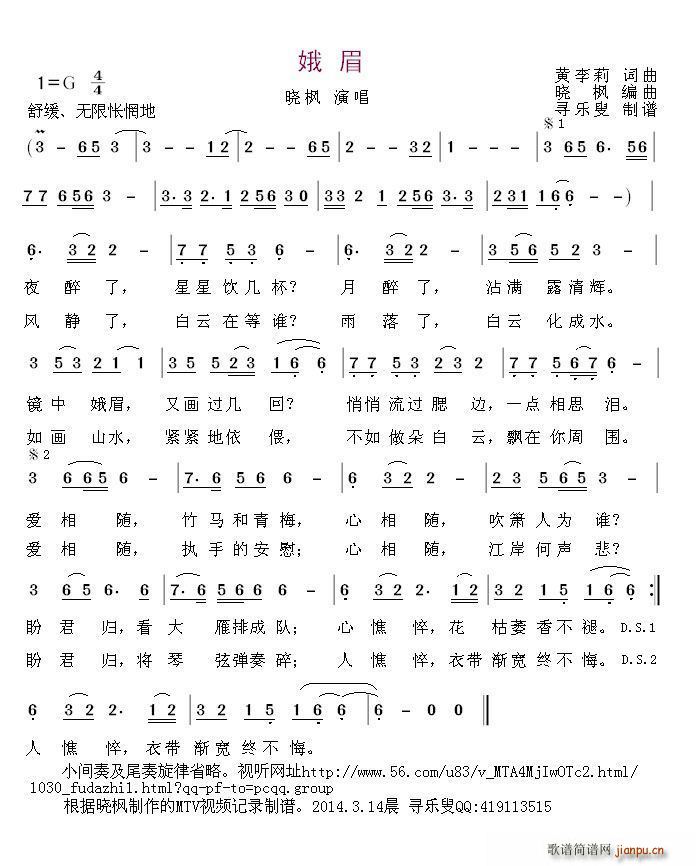
娥眉

艺术家/歌手/词曲: 晓枫 浏览:11191
图片可能经过缩放,另存可看到原图,在图片上点鼠标右键,选图片另存为,可以保存到你的电脑中.

娥眉

猜你喜欢:

西风01-19

农民01-19

望月01-19

永夜01-19

奇怪01-19

歌缘( 词 郭宏志曲)01-19

童年(《路边吉它队》插曲)01-19

但愿01-19

敬仰01-19

郊道01-19

注:本文为网友上传,旨在传播知识,若有侵权等问题请及时与本网联系,我们将在第一时间删除处理。E-MAIL:xxx@qq.com

客服电话

152xxxx

微信客服

微信客服

QQ交流1群:270xxxx