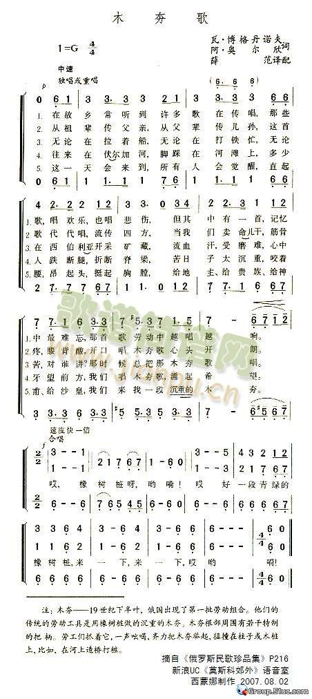
木夯歌

艺术家/歌手/词曲: 俄文原唱 浏览:12706
图片可能经过缩放,另存可看到原图,在图片上点鼠标右键,选图片另存为,可以保存到你的电脑中.

木夯歌

猜你喜欢:

金达莱01-19

祖国情01-19

家常话01-19

俄罗斯01-19

忘记他01-19

南泥湾01-19

赞延安(五线谱+)01-19

潇湘曲01-19

卖布谣01-19

忘不了01-19

注:本文为网友上传,旨在传播知识,若有侵权等问题请及时与本网联系,我们将在第一时间删除处理。E-MAIL:xxx@qq.com

客服电话

152xxxx

微信客服

微信客服

QQ交流1群:270xxxx