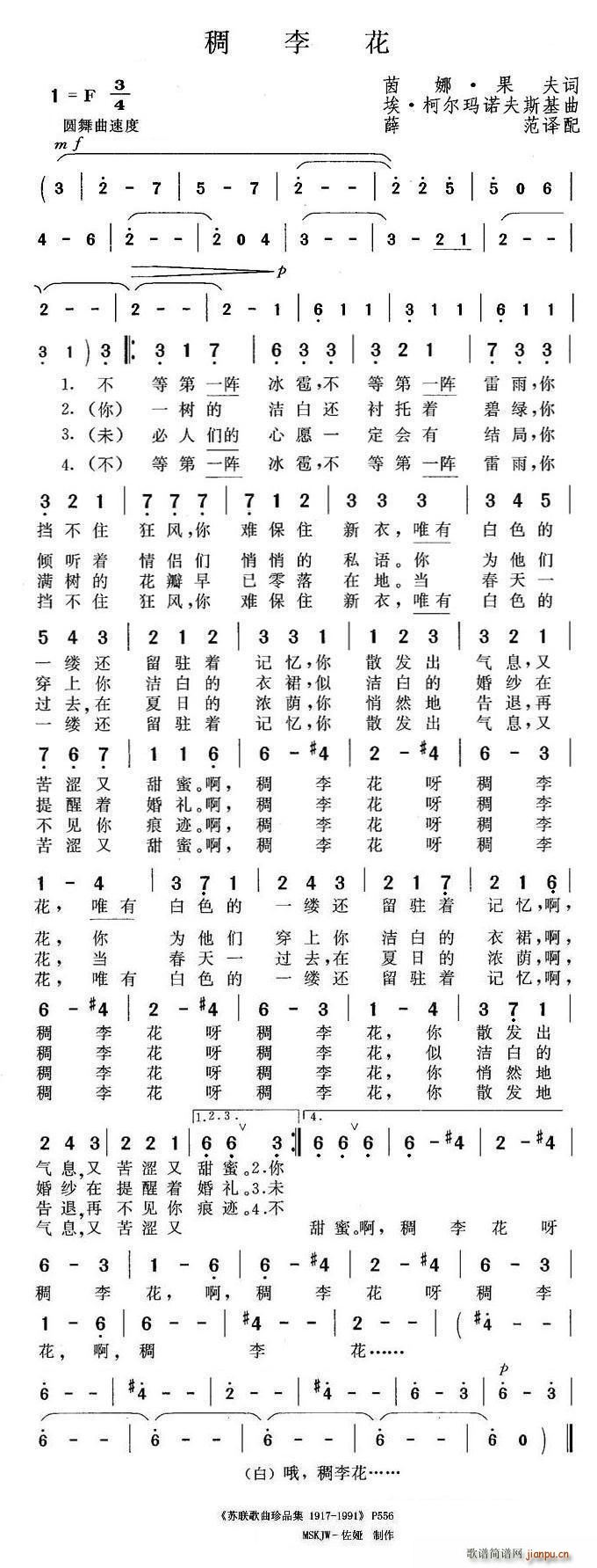
稠李花(前苏联)

浏览:15973
图片可能经过缩放,另存可看到原图,在图片上点鼠标右键,选图片另存为,可以保存到你的电脑中.
稠李花(前苏联)

稠李花(前苏联)

本文来自 调子网-专注于歌谱、乐谱分享 (qupu.meipin.com),未经允许不得转载!

注:本文为网友上传,旨在传播知识,若有侵权等问题请及时与本网联系,我们将在第一时间删除处理。E-MAIL:xxx@qq.com

客服电话

152xxxx

微信客服

微信客服

QQ交流1群:270xxxx